教材内容
定积分是计算函数在两个界限之间的积分。定积分通常产生一个数值,而不定积分总是产生一个函数。
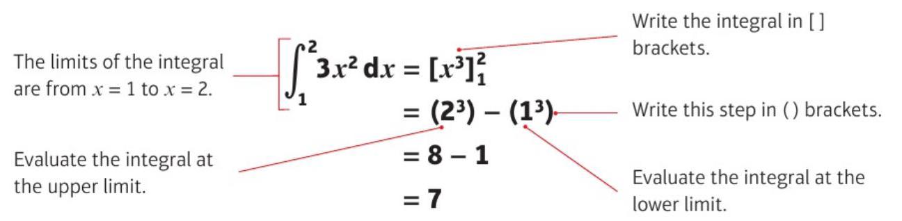
第一步:写出定积分表达式,包含上下限 \(a\) 和 \(b\)
\(\int_a^b \ldots dx\)
第二步:积分并在方括号中写出结果
\([\ldots]_a^b\)
第三步:计算定积分值
\((\ldots) - (\ldots)\)
计算 \(\int_0^1 (x^{\frac{1}{3}} - 1)^2 dx\)
首先展开括号,将表达式化为可积分的形式:
\(\int_0^1 (x^{\frac{2}{3}} - 2x^{\frac{1}{3}} + 1) dx\)
积分:
\(= \left[\frac{x^{\frac{5}{3}}}{\frac{5}{3}} - 2\frac{x^{\frac{4}{3}}}{\frac{4}{3}} + x\right]_0^1\)
简化:
\(= \left[\frac{3}{5}x^{\frac{5}{3}} - \frac{3}{2}x^{\frac{4}{3}} + x\right]_0^1\)
计算:
\(= \left(\frac{3}{5} - \frac{3}{2} + 1\right) - (0 + 0 + 0)\)
\(= \frac{1}{10}\)
Given that \(P\) is a constant and \(\int_1^5 (2Px + 7) dx = 4P^2\), show that there are two possible values for \(P\) and find these values.
计算定积分:
\(\int_1^5 (2Px + 7) dx = [Px^2 + 7x]_1^5\)
\(= (25P + 35) - (P + 7)\)
\(= 24P + 28\)
根据题意:
\(24P + 28 = 4P^2\)
\(4P^2 - 24P - 28 = 0\)
\(P^2 - 6P - 7 = 0\)
\((P + 1)(P - 7) = 0\)
因此:\(P = -1\) 或 \(P = 7\)
定积分在实际问题中有广泛应用,例如:
火车的速度 \(v \text{ m/s}\) 在时间 \(t\) 秒时由 \(v = 20 + 5t, 0 \leq t \leq 10\) 给出。
火车在10秒内行驶的距离 \(s\) 米由 \(s = \int_0^{10} (20 + 5t) dt\) 给出。求 \(s\) 的值。
\(s = \int_0^{10} (20 + 5t) dt = [20t + \frac{5}{2}t^2]_0^{10}\)
\(= (200 + 250) - (0 + 0) = 450 \text{ 米}\)